Relación entre las masas de dos cuerpos sobre los que se aplica la misma fuerza (52)

, por F_y_Q

Aplicamos idéntica fuerza durante el mismo tiempo sobre dos cuerpos de masas distintas que están en reposo. Las velocidades que alcanzan los dos cuerpos son 20 m/s y 144 km/h respectivamente. ¿Cuál es la relación de las masas de ambos cuerpos?

P.-S.

Para poder hacer el problema es necesario que las unidades sean homogéneas. Conviertes la velocidad del segundo cuerpo a unidad SI:

144\ \frac{\cancel{km}}{\cancel{h}}\cdot \frac{10^3\ m}{1\ \cancel{km}}\cdot \frac{1\ \cancel{h}}{3.6\cdot 10^3\ s} = \color[RGB]{0,112,192}{\bm{40\ \frac{m}{s}}
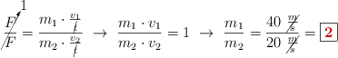
Si la fuerza aplicada en ambos cuerpos es la misma basta con que dividas una entre otra, usando la segunda ley de la dinámica:

\cancelto{1}{\frac{F}{F}} = \frac{m_1\cdot \frac{v_1}{\cancel{t}}}{m_2\cdot \frac{v_2}{\cancel{t}}}\ \to\ \frac{m_1\cdot v_1}{m_2\cdot v_2} = 1\ \to\ \frac{m_1}{m_2} = \frac{40\ \cancel{\frac{m}{s}}}{20\ \cancel{\frac{m}{s}}} = \fbox{\color[RGB]{192,0,0}{\bf 2}}