Relación entre la velocidad de efusión y la masa molecular (4325)

, por F_y_Q

En un pantano se forma un gas constituido por átomos de carbono e hidrógeno, por acción metabólica de algunas bacterias anaeróbicas. Una muestra pura de este gas produce una barrera porosa en 95 segundos. Un volumen igual de bromo gaseoso, en idénticas condiciones de temperatura y presión, produce la misma barrera porosa en 5 minutos.

a) Calcula la masa molecular del gas desconocido.

b) Explica la relación entre la velocidad de efusión y la masa de un gas.

P.-S.

a) La ley de Graham es la que establece la relación entre las velocidades de difusión o efusión de un gas y las masas moleculares de estos:

\color[RGB]{2,112,20}{\bm{\frac{v_1}{v_2}  = \sqrt{\frac{M_2}{M_1}}}}

Si llamas «l» a la longitud de la barrera porosa que forman ambos gases, sus velocidades se pueden escribir como:

\frac{\frac{l}{95}}{\frac{l}{300}} = \frac{300}{95} = \color[RGB]{0,112,192}{\bf 3.16}

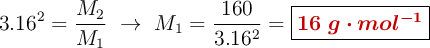
Ahora puedes usar este factor para el cálculo de la masa molecular:

3.16^2 = \frac{M_2}{M_1}\ \to\ M_1 = \frac{160}{3.16^2} = \fbox{\color[RGB]{192,0,0}{\bm{16\ g\cdot mol^{-1}}}}


b) La velocidad de efusión depende empíricamente de la densidad del gas. Si pones los dos gases en las mismas condiciones de presión y temperatura y usas la masa molecular de cada gas, se cumple:

\color[RGB]{2,112,20}{\bm{\frac{v_1}{v_2}  = \sqrt{\frac{\frac{M_2}{V_2}}{\frac{M_1}{V_1}}}}}

Al estar en las mismas condiciones de P y T, y ser sus masas las masas moleculares, estarías considerando sus volúmenes molares que, por aplicación de la ley de Avogadro, han de ser iguales. Se obtendría la ley de Graham al simplificar:

\color[RGB]{192,0,0}{\bm{\frac{v_1}{v_2}}= \sqrt{\frac{M_2}{M_1}}}