Relación entre dos masas que reciben la misma fuerza pero sufren distinta aceleración (1109)

, por F_y_Q

Se aplica una fuerza F sobre un objeto de masa m _1 , imprimiéndole una aceleración de 3\ \textstyle{m\over s^2} . Esa misma fuerza se aplica sobre un objeto de masa m _2 y le produce una aceleración de 12\ \textstyle{m\over s^2} . ¿Qué relación existe entre ambas masas?

P.-S.

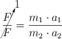
Si haces el cociente entre las fuerzas aplicadas, y teniendo en cuenta que es la misma fuerza:

\cancelto{1}{\frac{F}{F}} = \frac{m_1\cdot a_1}{m_2\cdot a_2}

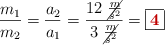
Despejas el cociente entre las masas y calculas la relación:

\frac{m_1}{m_2} = \frac{a_2}{a_1} = \frac{12\ \cancel{\frac{m}{s^2}}}{3\ \cancel{\frac{m}{s^2}}} = \fbox{\color[RGB]{192,0,0}{\bf 4}}