Radio de curvatura a partir de fuerza centrípeta y velocidad angular (4214)

, por F_y_Q

Calcular el radio de la circunferencia descrita por un cuerpo de masa de 20 kg que se mueve con MCU a razón de 120 rpm, si la fuerza centrípeta es de 7 264.32 N.

P.-S.

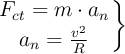
La fuerza centrípeta se puede escribir en función de la aceleración normal y esta en función de la velocidad. De este modo se podría escribir la fuerza centrípeta en función de los datos facilitados:

\left F_{ct}  = m\cdot a_n \atop a_n  = \frac{v^2}{R} \right \}

La velocidad se puede escribir en función de la velocidad angular:

v = \omega \cdot R

Quedará la expresión como:

F_{ct} = \frac{m\cdot \omega^2\cdot R^2}{R}\ \to\ \color[RGB]{2,112,20}{\bm{F_{ct} = m\cdot \omega^2\cdot R}}

Despejas el valor del radio:

\color[RGB]{2,112,20}{\bm{R = \frac{F_{ct}}{m\cdot \omega^2}}}

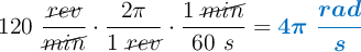
Para poder hacer la sustitución debes expresar la velocidad angular en unidades SI:

120\ \frac{\cancel{rev}}{\cancel{min}}\cdot \frac{2\pi}{1\ \cancel{rev}}\cdot \frac{1\ \cancel{min}}{60\ s} = \color[RGB]{0,112,192}{\bm{4\pi\ \frac{rad}{s}}}

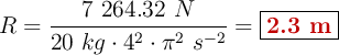
Sustituyes para calcular el radio:

R = \frac{7\ 264.32\ N}{20\ kg\cdot 4^2\cdot \pi^2\ s^{-2}} = \fbox{\color[RGB]{192,0,0}{\bf 2.3\ m}}