Profundidad en agua necesaria para que un resorte se contraiga medio centímetro (6230)

, por F_y_Q

El resorte de un dinamómetro tiene una constante de fuerza de 1000 N/m y el émbolo tiene un diámetro de 2 cm. Cuando el manómetro se sumerge en agua, ¿a qué profundidad el pistón se mueve 0.5 cm?

P.-S.

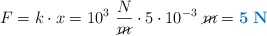
En primer lugar calculo la fuerza necesaria para provocar una elongación de 0.5 cm en el resorte, aplicando la ley de Hooke:

F = k\cdot x = 10^3\ \frac{N}{\cancel{m}}\cdot 5\cdot 10^{-3}\ \cancel{m} = \color[RGB]{0,112,192}{\bf 5\ N}

Como esa fuerza se debe ejercer presionando el agua el émbolo, la presión necesaria es:

P = \frac{F}{S} = \frac{5\ N}{\pi (2\cdot 10^{-2})^2\ m^2} = \color[RGB]{0,112,192}{\bm{3.98\cdot 10^3\ Pa}}

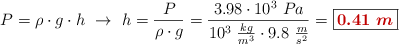
Esa presión será la que deba ejercer el líquido sobre el dinamómetro y se puede escribir en función de la profundidad, con lo que la despejamos y calculamos:

P = \rho\cdot g\cdot h\ \to\ h = \frac{P}{\rho\cdot g} = \frac{3.98\cdot 10^3\ Pa}{10^3\ \frac{kg}{m^3}\cdot 9.8\ \frac{m}{s^2}} = \fbox{\color[RGB]{192,0,0}{\bm{0.41\ m}}}