Presión de la válvula de un tanque y velocidad del fluido (4264)
El agua contenida en un tanque elevado puede fluir por una tubería que está provista de una válvula a 12 m por debajo del nivel del agua en el tanque. Si la presión atmosférica es de 101 325 Pa, calcula:
a) La presión que soporta la válvula cuando está cerrada.
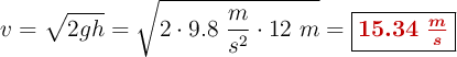
b) Presión en la válvula cuando está abierta y la velocidad con la que el agua atraviesa la válvula.
Ejercicios FyQ