Potencia y trabajo desarrollado por una grúa para elevar un bloque de hormigón (1120) 6001

, por F_y_Q

Una grúa eleva un bloque de hormigón de 550 kg hasta una altura de 12 m sobre el suelo con velocidad constante de 1.2 m/s. Calcula:

a) La potencia que desarrolla la grúa, expresada en kW.

b) El trabajo realizado por la grúa.

P.-S.

a) La potencia es el cociente entre el trabajo que realiza un sistema y el tiempo que invierte en realizar ese trabajo:

\color[RGB]{2,112,20}{\bm{P =\frac{W}{t} = \frac{F\cdot d}{t}}}

El cociente entre la distancia y el tiempo es la velocidad, por lo que puedes escribir la ecuación anterior como:

\color[RGB]{2,112,20}{\bf P = F\cdot v}

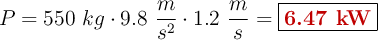
A partir de esta expresión, y teniendo en cuenta que la fuerza es, en este caso, el peso:

P = 550\ kg\cdot 9.8\ \frac{m}{s^2}\cdot 1.2\ \frac{m}{s} =\fbox{\color[RGB]{192,0,0}{\bf 6.47\ kW}}


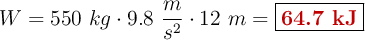
b) El trabajo será el producto del peso, que es la fuerza, por la distancia, que es la altura a la que se ha elevado el bloque:

W = 550\ kg\cdot 9.8\ \frac{m}{s^2}\cdot 12\ m = \fbox{\color[RGB]{192,0,0}{\bf 64.7\ kJ}}