Piedra lanzada verticalmente hacia arriba 0002

, por F_y_Q

Una piedra es lanzada verticalmente hacia arriba con una velocidad de 20 m/s. ¿En qué instante su velocidad será de 6 m/s y a qué altura se encontrará?

P.-S.

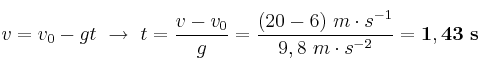
En el problema la velocidad inicial, hacia arriba, tiene sentido contrario a la gravedad, hacia abajo. Vamos a considerar que la velocidad es positiva y, por lo tanto, la gravedad será tomada como negativa. Cuando la velocidad sea de 6 m/s:

v = v_0 - gt\ \to\ t = \frac{v - v_0}{g} = \frac{(20 - 6)\ m\cdot s^{-1}}{9,8\ m\cdot s^{-2}} = \bf 1,43\ s


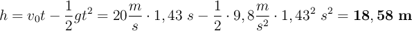
La altura que tenga la piedra en ese instante será:

h = v_0t - \frac{1}{2}gt^2 = 20\frac{m}{s}\cdot 1,43\ s - \frac{1}{2}\cdot 9,8\frac{m}{s^2}\cdot 1,43^2\ s^2 = \bf 18,58\ m