Piedra lanzada horizontalmente desde una torre (6791)

, por F_y_Q

Desde arriba de una torre se lanza una piedra con velocidad horizontal de 42 m/s. La piedra alcanza el suelo a una distancia de 135 m con respecto a la base de la torre. Determina:

a) Tiempo de vuelo de la piedra.

b) Altura de la torre.

c) Velocidad vertical de la piedra al llegar al piso.

d) Velocidad horizontal de la piedra al llegar al piso.

e) Velocidad de la piedra al llegar al piso.

P.-S.

Se trata de un lanzamiento horizontal y se caracteriza porque la velocidad horizontal es constante durante todo el movimiento.

d) La respuesta a este apartado es inmediata:

\fbox{\color[RGB]{192,0,0}{\bm{\vec {v}_x  = 42\ \vec{i}}}}


a) El tiempo durante el que está en el aire es:

x = v_x\cdot t_v\ \to\ t_v = \frac{x}{v_x}  = \frac{135\ m}{42\ \frac{\cancel{m}}{s}}= \fbox{\color[RGB]{192,0,0}{\bf 3.21\ s}}


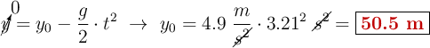
b) La altura de la torre la puedes obtener si consideras que la gravedad tiene sentido contrario a la altura a la que está, considerando la referencia en el suelo:

\cancelto{0}{y} = y_0 - \frac{g}{2}\cdot t^2\ \to\ y_0  = 4.9\ \frac{m}{\cancel{s^2}}\cdot 3.21^2\ \cancel{s^2}= \fbox{\color[RGB]{192,0,0}{\bf 50.5\ m}}


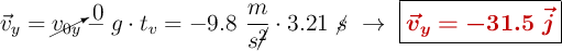
c) En la dirección vertical la velocidad inicial es nula y solo existe la aceleración de la gravedad, que la has considerado negativa en el apartado anterior:

\vec v_y = \cancelto{0}{v_{0y}} - g\cdot t_v = - 9.8\ \frac{m}{s\cancel{^2}}\cdot 3.21\ \cancel{s}\ \to\ \fbox{\color[RGB]{192,0,0}{\bm{\vec{v}_y = - 31.5\ \vec j}}}


e) La velocidad con la que llega al suelo es:

\vec v  = \vec v_x + \vec v_y\ \to\ \fbox{\color[RGB]{192,0,0}{\bm{\vec v = 42\ \vec i - 31.5\ \vec j}}}


El módulo del vector, es decir, la celeridad, es:

v = \sqrt{v_x^2 + v_y^2}  = \sqrt{(42^2 + (-31.5)^2)\ \frac{m^2}{s^2}} = \fbox{\color[RGB]{192,0,0}{\bm{52.5\ m\cdot s^{-1}}}}