Velocidad, aceleración, desplazamiento y espacio recorrido a partir de la ecuación de la posición (8223)

, por F_y_Q

La posición de una partícula que se mueve sobre el eje OX de un sistema de coordenadas está dada por la siguiente ecuación, expresada en unidades SI:

x(t) = 1+8t-2t^2

donde la posición está en metros y el tiempo en segundos. Determina:

a) La velocidad en t = 5 s.

b) La aceleración en t = 2 s.

c) El instante en que la partícula cambia su sentido de movimiento.

d) El desplazamiento de la partícula entre t = 0 y t = 4 s.

e) El espacio recorrido entre t = 0 y t = 4 s.

f) El espacio recorrido entre t = 0 y t = 5 s.

P.-S.

a) La ecuación de la velocidad la obtienes al hacer la derivada de la ecuación con respecto al tiempo:

\color[RGB]{2,112,20}{\bm{v = \frac{dx}{dt} = 8-4t}}

Como puedes ver, la velocidad depende del tiempo. Para calcular la velocidad en el instante t = 5 s tienes que sustituir en la ecuación:

v_{5s} = 8 - 4\cdot 5 = \fbox{\color[RGB]{192,0,0}{\bm{-12\ m\cdot s^{-1}}}}


b) La ecuación de la aceleración la obtienes cuando derivas con respecto del tiempo la ecuación de la velocidad que has obtenido en el apartado anterior:

\color[RGB]{2,112,20}{\bm{a = \frac{dv}{dt} = -4}}

Observa que no depende del tiempo, es decir, la aceleración es constante. Su valor es siempre:

\fbox{\color[RGB]{192,0,0}{\bm{a = -4\ m\cdot s^{-2}}}}


c) En el instante inicial la velocidad es positiva, mientras que el resultado del apartado a) nos da un valor de velocidad negativo. Esto quiere decir que hay un instante intermedio en el que se produce el cambio de sentido. Para que ello ocurra, la velocidad ha de pasar por el valor cero. Esa es la condición que impones a la ecuación de la velocidad para calcular ese instante:

8 - 4t = 0\ \to\ t = \frac{8}{4} = \fbox{\color[RGB]{192,0,0}{\bf 2\ s}}


d) El desplazamiento es la diferencia entre dos posiciones. Solo tienes que sustituir los valores de tiempo dados en la ecuación de la posición:

\left x_0 = {\color[RGB]{0,112,192}{\bf 1\ m}}\ \atop x_{4s} = 1 + 8\cdot 4 - 2\cdot 4^2 = {\color[RGB]{0,112,192}{\bf 1\ m}} \right \}

El desplazamiento es, por lo tanto:

\Delta x = x_{4s} - x_0 = (1 - 1)\ m\ \to\ \fbox{\color[RGB]{192,0,0}{\bm{\Delta x = 0}}}


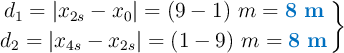
e) Como la partícula cambia de sentido en t = 2s, debes calcular el espacio recorrido desde t = 0 hasta t = 2 s y luego el espacio recorrido desde t = 2 s hasta t = 4 s. Recuerda que, al ser distancias, has de tomar valor absoluto:

\left d_1 = |x_{2s} - x_0| = (9 - 1)\ m = {\color[RGB]{0,112,192}{\bf 8\ m}} \atop d_2 = |x_{4s} - x_{2s}| = (1 - 9)\ m = {\color[RGB]{0,112,192}{\bf 8\ m}} \right \}

El espacio recorrido es la suma de ambas distancias:

d_T = d_1 + d_2 = (8 + 8)\ m = \fbox{\color[RGB]{192,0,0}{\bf 16\ m}}


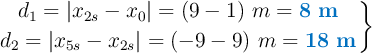
f) Este apartado es análogo al anterior, pero para t = 5 s:

\left d_1 = |x_{2s} - x_0| = (9 - 1)\ m = {\color[RGB]{0,112,192}{\bf 8\ m}} \atop d_2 = |x_{5s} - x_{2s}| = (-9 - 9)\ m = {\color[RGB]{0,112,192}{\bf 18\ m}} \right \}

Vuelves a hacer la suma de ambas distancias:

d_T = d_1 + d_2 = (8 + 18)\ m = \fbox{\color[RGB]{192,0,0}{\bf 26\ m}}