Movimiento con aceleración constante 0002

, por F_y_Q

Un coche, que describe un MRUA, para triplicar su rapidez recorre una distancia de 80 m y tarda 5 s. Determina la aceleración del coche.

P.-S.

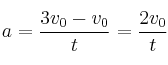
La aceleración es: a = \frac{v - v_0}{t}. Pero podemos poner el valor de la velocidad final en función de la inicial, ya que sabemos que es el triple:

a = \frac{3v_0 - v_0}{t} = \frac{2v_0}{t}


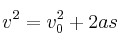
Además podemos relacionar la aceleración con el espacio que recorre: v^2 = v_0^2 + 2as
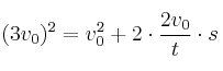
Si sustituimos el valor de la velocidad por el triple de la velocidad inicial y el de la aceleración por el valor anteriormente calculado:

(3v_0)^2 = v_0^2 + 2\cdot \frac{2v_0}{t}\cdot s


Si operamos y reordenamos tendremos:

9v_0^2 = v_0^2 + 64v_0\ \to\ v_0 = 8\ m/s


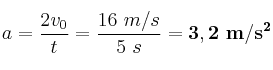
Ahora sólo tenemos que sustituir en la primera ecuación:

a = \frac{2v_0}{t} = \frac{16\ m/s}{5\ s} = \bf 3,2\ m/s^2