Movimiento circular uniformemente variado (2224)

, por F_y_Q

Una rueda gira a 3000 rpm cuando se le aplican los frenos y se para en 30 s. Halla el número de vueltas que da hasta que se detiene. Si tiene un diámetro de 2 dm; calcula la aceleración lineal y el espacio lineal.

P.-S.

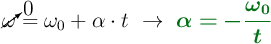
Para hacer el problema, vas a usar las ecuaciones del movimiento circular uniformemente variado. Sabes que la velocidad angular final es cero y el tiempo empleado para detenerse es 30 s:

\cancelto{0}{\omega} = \omega_0 + \alpha \cdot t\ \to\ \color[RGB]{2,112,20}{\bm{\alpha = - \frac{\omega_0}{t}}}

Expresas la velocidad angular inicial en vueltas/s:

3000\ \frac{vueltas}{\cancel{min}}\cdot \frac{1\ \cancel{min}}{60\ s} = \color[RGB]{0,112,192}{\bm{50\ \frac{vueltas}{s}}}

Sustituyes en la ecuación para calcular la aceleración angular:

\alpha = - \frac{50\ \frac{vuel}{s}}{30\ s} = \color[RGB]{0,112,192}{\bm{- 1.67\ \frac{vuel}{s^2}}}

Ahora puedes calcular el número de vueltas:

\phi = \omega_0\cdot t + \frac{1}{2}\cdot \alpha\cdot t^2\ \to\ \phi = 50\ \frac{vuel}{\cancel{s}}\cdot 30\ \cancel{s} - \frac{1.67}{2}\ \frac{vuel}{\cancel{s^2}}\cdot 30^2\ \cancel{s^2} = \fbox{\color[RGB]{192,0,0}{\textbf{748.5 vueltas}}}


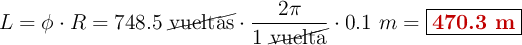
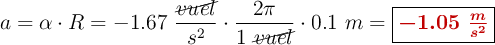
Si el diámetro es 2 dm quiere decir que el radio es la mitad, es decir, 1 dm = 0.1 m. Para calcular las magnitudes lineales basta con tener en cuenta el valor del radio:

a = \alpha\cdot R = - 1.67\ \frac{\cancel{vuel}}{s^2}\cdot \frac{2\pi}{1\ \cancel{vuel}}\cdot 0.1\ m = \fbox{\color[RGB]{192,0,0}{\bm{- 1.05\ \frac{m}{s^2}}}}


L = \phi\cdot R = 748.5\ \cancel{\text{vueltas}}\cdot \frac{2\pi}{1\ \cancel{\text{vuelta}}}\cdot 0.1\ m = \fbox{\color[RGB]{192,0,0}{\bf 470.3\ m}}

Palabras clave