Masa de un objeto en reposo que choca elásticamente con otro (6018)

, por F_y_Q

Un objeto de 2 kg de masa choca elásticamente contra otro objeto en reposo y continúa moviéndose en la dirección original pero a un cuarto de la velocidad original. ¿Cuál es la masa del objeto golpeado?

P.-S.

Como es un choque elástico, se han de conservar tanto la cantidad de movimiento como la energía cinética total del sistema. Escribes las ecuaciones de ambas condiciones:

Primera ecuación:

m_1\cdot v_1 + m_2\cdot \cancelto{0}{v_2} = m_1\cdot v^{\prime}_1 + m_2\cdot v^{\prime}_2\ \to\ \color[RGB]{2,112,20}{\bm{m_1(v_1 - v^{\prime}_1) = m_2\cdot v^{\prime}_2}}

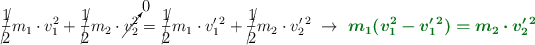
Segunda ecuación:

\cancel{\frac{1}{2}}m_1\cdot v_1^2 + \cancel{\frac{1}{2}}m_2\cdot \cancelto{0}{v_2^2} = \cancel{\frac{1}{2}}m_1\cdot v^{\prime}_1^2 + \cancel{\frac{1}{2}}m_2\cdot v^{\prime}_2^2\ \to\ \color[RGB]{2,112,20}{\bm{m_1(v_1^2 - v^{\prime}_1^2) = m_2\cdot v^{\prime}_2^2}}

Sabes que la velocidad del cuerpo 1 después del choque es un cuarto de la que tenía antes del choque, por lo que puedes escribir que v^{\prime}_1 = \frac{v_1}{4}.

Sustituyes en la primera ecuación y despejas el valor de v^{\prime}_2:

\frac{3m_1\cdot v_1}{4} = m_2\cdot v^{\prime}_2\ \to\ \color[RGB]{2,112,20}{\bm{v^{\prime}_2 = \frac{3m_1\cdot v_1}{4m_2}}}

Ahora sustituyes los valores de las velocidades después del choque en la segunda ecuación:

m_1\left(v_1^2 - \frac{v_1^2}{16}\right)  = m_2\cdot \left(\frac{3m_1v_1}{4m_2}\right)^2

Desarrollas y despejas el valor de la masa del cuerpo 2:

\frac{15\cancel{m_1}\cdot \cancel{v_1^2}}{\cancel{16}} = \cancel{m_2}\cdot \frac{9m_1\cancel{^2}\cdot \cancel{v_1^2}}{\cancel{16}m_2\cancel{^2}}\ \to\ m_2 = \frac{9m_1}{15} = \frac{9\cdot 2\ kg}{15} = \fbox{\color[RGB]{192,0,0}{\bf 1.2\ kg}}