Masa de soluto necesaria para disolución %(m/m) 0001

, por F_y_Q

¿Cuántos gramos de NaCl se deben disolver en 60 g de agua para producir una disolución al 20\% en peso?

P.-S.

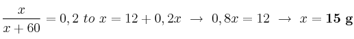
Aplicando la definición de la concentración en porcentaje en peso: \%(p/p) = \frac{m_S}{(m_S + m_d)}\cdot 100, podemos llamar "x" a la masa de soluto y despejar:

\frac{x}{(x + 60)}\cdot 100 = 20


\frac{x}{x + 60} = 0,2\ to\ x = 12 + 0,2x\ \to\ 0,8x = 12\ \to\ x = \bf 15\ g