Masa de hielo fundida en agua caliente 0001

, por F_y_Q

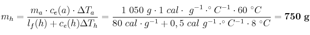
¿Cuántos gramos de hielo a -8\ ^\circ C se fundirán en 1,05 kg de agua a una temperatura de 60\ ^\circ C?
Datos: c_e(agua) = 1\frac{cal}{g\cdot ^\circ C} ; c_e(hielo) = 0,5\frac{cal}{g\cdot ^\circ C} ; l_f(hielo) = 80\frac{cal}{g}

P.-S.

El hielo se fundirán en el agua hasta que la mezcla alcance los 0\ ^\circ C. A partir de ese momento ya no habrá más cambio de estado, por lo que podremos calcular la masa de hielo que haría que la mezcla llegase a esa temperatura.
El calor que absorbe el hielo tiene dos formas; primero el calentamiento del hielo hasta los 0\ ^\circ C y luego la fusión del hielo. El agua, por su lado, sufrirá un proceso de enfriamiento. La ecuación a considerar es:

m_h\cdot l_f(h) + m_h\cdot c_e(h)\cdot \Delta T_h = - m_a\cdot c_e(a)\cdot \Delta T_a


Ahora basta con despejar el valor de la masa de hielo:

m_h = \frac{m_a\cdot c_e(a)\cdot \Delta T_a}{l_f(h) + c_e(h)\Delta T_h} = \frac{1\ 050\ g\cdot 1\ cal\cdot\ g^{-1}\cdot ^\circ C^{-1}\cdot 60\ ^\circ C}{80\ cal\cdot g^{-1} + 0,5\ cal\ g^{-1}\cdot ^\circ C^{-1}\cdot 8\ ^\circ C} = \bf 750\ g