Temperatura inicial de una pieza de hierro que se enfría en agua (7626)

, por F_y_Q

Determina la temperatura a la que estaba una pieza de hierro de 2.5 kg, si al ser introducida en 2 kg de agua a 15 ^oC, eleva la temperatura del agua hasta los 28 ^oC.

Datos: c_e(\ce{Fe}) = 0.013\ \textstyle{cal\over g\cdot ^o C} ; c_e(\ce{H2O}) = 1\ \textstyle{cal\over g\cdot ^o C}

P.-S.

La clave del problema está en que el calor que cede el hierro será el calor que absorbe el agua. Como la variación de temperatura no implica cambio de estado alguno, solo habrá que usar la ecuación:

\color[RGB]{2,112,20}{\bm{Q = m\cdot c_e\cdot \Delta T}}

El calor cedido debes considerarlo negativo y el calor absorbido, positivo:

-Q_c = Q_a\ \to\ -m_{\ce{Fe}}\cdot c_e(\ce{Fe})\cdot (T_f - T_i) = m_{\ce{H2O}}\cdot c_e(\ce{H2O})\cdot (T_f - T_i)

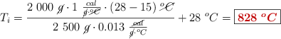
Despejas el valor de la temperatura inicial del hierro:

\color[RGB]{2,112,20}{\bm{T_i = \frac{m_{\ce{Fe}}\cdot c_e(\ce{Fe})\cdot (T_f - T_i)}{m_{\ce{H2O}}\cdot c_e(\ce{H2O})} + T_f}}

Solo tienes que sustituir y calcular:

T_i = \frac{2\ 000\ \cancel{g}\cdot 1\ \frac{cal}{\cancel{g}\cdot \cancel{^oC}}\cdot (28 - 15)\ \cancel{^oC}}{2\ 500\ \cancel{g}\cdot 0.013\ \frac{\cancel{cal}}{\cancel{g}\cdot ^oC}} + 28\ ^oC = \fbox{\color[RGB]{192,0,0}{\bm{828\ ^oC}}}