Temperatura inicial de un calorímetro de latón que contiene agua al meter plomo caliente (7193)

, por F_y_Q

Una esfera de plomo de 60 g que estaba a 120 ^oC se introduce en un calorímetro de latón, cuya masa es de 30 g y contenía 10 g de agua. Una vez que el sistema llegó al equilibrio térmico, su temperatura fue de 25 ^oC. Determina la temperatura inicial del calorímetro y de la masa de agua.

Datos: c_e(\ce{Pb}) = 0.13\ \textstyle{J\over g\cdot ^oC} ; c_e(\ce{lat}) = 0.393\ \textstyle{J\over g\cdot ^oC} ; c_e(\ce{H2O}) = 4.18\ \textstyle{J\over g\cdot ^oC}

P.-S.

Al ser mayor la temperatura del plomo será quien ceda el calor que debe absorber el calorímetro de latón junto con la masa de agua. Se tiene que cumplir:

-\left[m_{\ce{Pb}}\cdot c_e(\ce{Pb})\cdot (T_{\ce{eq}} - T_i)\right] = \left[m_{\ce{lat}}\cdot c_e(\ce{lat}) + m_{\ce{H2O}}\cdot c_e(\ce{H2O})\right]\cdot\ \Delta T

Si despejas la variación de temperatura de la ecuación anterior:

\color[RGB]{2,112,20}{\bm{\Delta T = \frac{-\left[m_{\ce{Pb}}\cdot c_e(\ce{Pb})\cdot (T_{\ce{eq}} - T_i)\right]}{\left[m_{\ce{lat}}\cdot c_e(\ce{lat}) + m_{\ce{H2O}}\cdot c_e(\ce{H2O})\right]}}}

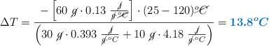
Sustituyes los datos y calculas:

\Delta T = \frac{-\left[60\ \cancel{g}\cdot 0.13\ \frac{\cancel{J}}{\cancel{g}\cdot \cancel{^oC}}\right]\cdot (25 - 120) \cancel{^oC}}{\left(30\ \cancel{g}\cdot 0.393\ \frac{\cancel{J}}{\cancel{g}\cdot ^oC} + 10\ \cancel{g}\cdot 4.18\ \frac{\cancel{J}}{\cancel{g}\cdot ^oC\right)} = \color[RGB]{0,112,192}{\bm{13.8^oC}

Ya solo tienes que hacer la diferencia de temperatura para saber la temperatura inicial:

T_{\ce{eq}} - T_i = 13.8\ \to\ T_i = (25 - 13.8)^oC = \fbox{\color[RGB]{192,0,0}{\bm{11.2^oC}}}