Longitud máxima del cable de una máquina de demolición (6015)

, por F_y_Q

Una bola de demoler pesa 250 kg. Si para demoler debe moverse a una velocidad de 40 m/s y el cable soporta una tensión máxima de 1 000 N, calcula la máxima longitud del cable que la grúa puede tener.

P.-S.

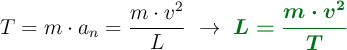
La bola se mueve en un movimiento circular y puedes considerar que es uniforme. La resultante de las fuerzas sobre la bola será, por lo tanto, la fuerza centrípeta y debe ser igual a la tensión máxima que soporta el cable:

T = m\cdot a_n = \frac{m\cdot v^2}{L}\ \to\ \color[RGB]{2,112,20}{\bm{L = \frac{m\cdot v^2}{T}}}

Sustiuyes los datos del enunciado y calculas:

L = \frac{250\ kg\cdot 40^2\ \frac{m^2}{s^2}}{10^3\ N} = \fbox{\color[RGB]{192,0,0}{\bf 400\ m}}