Ley de Hooke: masa necesaria para conseguir una longitud del resorte (1226)

, por F_y_Q

Un muelle, con constante de recuperación 40 N/m, cuelga verticalmente junto a una regla de modo que su extremo coincide con la marca 10 cm. ¿Qué masa debe colgarse del muelle para que su extremo quede alineado con la marca 18 cm de la regla?

P.-S.

Si tienes en cuenta la longitud del muelle en reposo y la longitud que debe tener cuando se cuelgue la masa, puedes calcular la elongación del muelle:

\Delta L = L_f - L0 = (18 - 10)\ cm = \color[RGB]{0,112,192}{\bf 8\ cm}

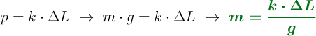
Si aplicas la ley de Hooke puedes calcular la masa necesaria para que se produzca esa elongación:

p = k\cdot \Delta L\ \to\ m\cdot g = k\cdot \Delta L\ \to\ \color[RGB]{2,112,20}{\bm{m = \frac{k\cdot \Delta L}{g}}}

Solo tienes que sustituir en la ecuación, pero teniendo en cuenta que las unidades sean homogéneas:

m = \frac{40\ N\cdot \cancel{m^{-1}}\cdot 0.08\ \cancel{m}}{9.8\ m\cdot s^{-2}} = \fbox{\color[RGB]{192,0,0}{\bf 0.32\ kg}}