Lanzamiento vertical hacia arriba y altura máxima 0001

, por F_y_Q

¿Cuál es la altura de un objeto que se lanza verticalmente hacia arriba y tarda 10 s en volver al punto de partida?

P.-S.

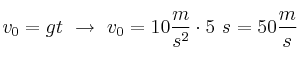
Para resolver el problema debemos tener en cuenta que el tiempo que tarda en subir el objeto es justo la mitad del tiempo que está en el aire, es decir, 5 s. En ese caso, basta con despejar el valor de la velocidad inicial en la ecuación: v = v_0 - gt:

v_0 = gt\ \to\ v_0 = 10\frac{m}{s^2}\cdot 5\ s = 50\frac{m}{s}


(Debemos tener en cuenta que la velocidad en el punto más alto es cero, por eso comienza a caer de nuevo cuando llega a ese punto).
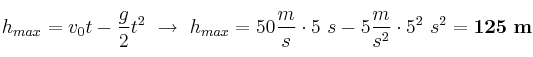
Ahora calculamos la altura máxima:

h_{max} = v_0t - \frac{g}{2}t^2\ \to\ h_{max} = 50\frac{m}{s}\cdot 5\ s - 5\frac{m}{s^2}\cdot 5^2\ s^2 = \bf 125\ m