Lanzamiento vertical hacia arriba de un cuerpo (7039)

, por F_y_Q

Se lanza verticalmente y hacia arriba un cuerpo con una rapidez 45\ m\cdot s^{-1} . Calcula:

a) La rapidez a los 4 s del lanzamiento.

b) La rapidez cuando haya subido 70 m.

c) La altura máxima que alcanza y el tiempo que tarda en hacerlo.

d) La altura a la que se encuentra a los 2 s.

e) La altura a la que está cuando su rapidez se de 25\ m\cdot s^{-1} .

P.-S.

Si tomas como positivo el sentido ascendente y negativo el sentido descendente, la velocidad inicial es positiva y la aceleración de la gravedad será negativa.

a) La rapidez a los 4 s es:

v = v_0 - gt\ \to\ v_4= 45\ \frac{m}{s} - 9.8\ \frac{m}{s\cancel{^2}}\cdot 4\ \cancel{s} = \fbox{\color[RGB]{192,0,0}{\bm{5.80\ \frac{m}{s}}}}


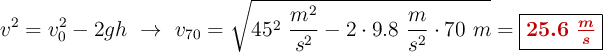
b) Para este apartado es mejor que uses la ecuación que es independiente del tiempo:

v^2 = v_0^2 -2gh\ \to\ v_{70} = \sqrt{45^2\ \frac{m^2}{s^2} - 2\cdot 9.8\ \frac{m}{s^2}\cdot 70\ m}= \fbox{\color[RGB]{192,0,0}{\bm{25.6\ \frac{m}{s}}}}


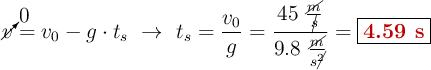
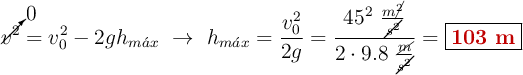
c) Cuando alcanza la altura máxima, su velocidad es cero:

\cancelto{0}{v^2} = v_0^2 - 2gh_{m\acute{a}x}\ \to\ h_{m\acute{a}x} = \frac{v_0^2}{2g} = \frac{45^2\ \frac{m\cancel{^2}}{\cancel{s^2}}}{2\cdot 9.8\ \frac{\cancel{m}}{\cancel{s^2}}}= \fbox{\color[RGB]{192,0,0}{\bf 103\ m}}


\cancelto{0}{v} = v_0 - g\cdot t_s\ \to\ t_s = \frac{v_0}{g} = \frac{45\ \frac{\cancel{m}}{\cancel{s}}}{9.8\ \frac{\cancel{m}}{s\cancel{^2}}}= \fbox{\color[RGB]{192,0,0}{\bf 4.59\ s}}


d) Cuando han pasado 2 s:

h_2 = v_0t - \frac{g}{2}t^2\ \to\ h_2 = 45\ \frac{m}{\cancel{s}}\cdot 2\ \cancel{s} - \frac{9.8}{2}\ \frac{m}{\cancel{s^2}}\cdot 2^2\ \cancel{s^2}= \fbox{\color[RGB]{192,0,0}{\bf 70.4\ m}}


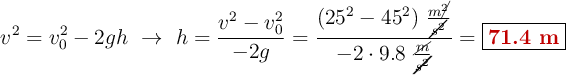
e) Ahora despejas la altura de la ecuación independiente del tiempo:

v^2 = v_0^2 - 2gh\ \to\ h = \frac{v^2 - v_0^2}{-2g} = \frac{(25^2 - 45^2)\ \frac{m\cancel{^2}}{\cancel{s^2}}}{-2\cdot 9.8\ \frac{\cancel{m}}{\cancel{s^2}}}= \fbox{\color[RGB]{192,0,0}{\bf 71.4\ m}}