Lanzamiento vertical hacia arriba (3296)

, por F_y_Q

Un objeto es lanzado verticalmente hacia arriba. Cuando alcanza la mitad de su altura máxima, su velocidad es de 24m/s:

a) ¿Qué altura máxima alcanza?

b) ¿Qué tiempo tarda en alcanzarla?

c) ¿Con qué velocidad se lanzó?

d) ¿Qué tiempo tarda en llegar al suelo desde su altura máxima?

P.-S.

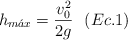
c) En un lanzamiento hacia arriba, la velocidad varía de manera uniforme porque la aceleración es constante. Para poder determinar la velocidad inicial del lanzamiento puedes considerar que la velocidad, cuando el objeto deja de ascender, es cero. Si despejas el valor de la altura máxima en la expresión v^2  = v_0^2 - 2gh:

h_{m\acute{a}x} = \frac{v_0^2}{2g}\ \ (Ec.1)

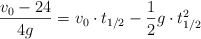
Cuando el objeto alcanza la mitad de esta altura su velocidad es 24 m/s y el tiempo que habrá transcurrido será t_{1/2}:

v  = v_0 - gt\ \to\ t_{1/2} = \frac{v_0 - 24}{g}

Sustituyes este valor del tiempo en la expresión que relaciona la altura del objeto con el tiempo, para un valor h _{1/2}:

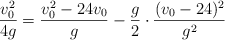
\frac{v_0 - 24}{4g}  = v_0\cdot t_{1/2} - \frac{1}{2}g\cdot t_{1/2}^2

\frac{v_0^2}{4g}  = \frac{v_0^2 - 24v_0}{g} - \frac{g}{2}\cdot \frac{(v_0 - 24)^2}{g^2}


Si desarrollas el cuadrado y simplificas:

\frac{v_0^2}{4}  = \frac{2v_0^2 - 576}{2}

v_0^2 = 2v_0^2 - 1\ 152

v_0 = \sqrt{1\ 152} = \fbox{\color[RGB]{192,0,0}{\bm{33.94\frac{m}{s}}}}


a) La altura máxima la puedes determinar a partir de la Ec.1:

h_{m\acute{a}x} = \frac{v_0^2}{2g} = \frac{33.94^2\ \frac{m\cancel{^2}}{\cancel{s^2}}}{2\cdot 9.8\ \fra{\cancel{m}}{\cancel{s^2}}} = \fbox{\color[RGB]{192,0,0}{\bm{58.77\ m}}}


b) El tiempo durante el que asciende el objeto, es decir, hasta el momento en el que la velocidad es cero:

t_s = \frac{v_0}{g} = \frac{33.94\ \frac{\cancel{m}}{\cancel{s}}}{9.8\ \frac{\cancel{m}}{s\cancel{^2}}} = \fbox{\color[RGB]{192,0,0}{\bf 3.46\ s}}


d) El tiempo de caída, es decir, el que transcurre desde que está en el punto más alto hasta que llega al suelo, en ausencia de rozamiento, es igual al tiempo de ascenso, por lo tanto será \fbox{\color[RGB]{192,0,0}{\bm{t_c = 3.46\ s}}}.

Palabras clave