Lanzamiento hacia arriba desde un risco 0001

, por F_y_Q

Un objeto es lanzado verticalmente hacia arriba con una rapidez de 12 m/s desde el estremo de un risco de 70,0 m de alto. ¿Cuánto tiempo después alcanza el fondo del risco? ¿Cuál es su rapidez justo antes de tocar el fondo? ¿Qué distancia total recorrió?

P.-S.

Vamos a resolver este problema en dos pasos claramente diferenciados. En primer lugar vamos a tratar el ejercicio como un lanzamiento vertical hacia arriba y calularemos el tiempo de subida y la altura máxima. En el último paso lo abordaremos como una caída libre desde esa altura máxima.
Primera parte.
La velocidad inicial tiene sentido contrario a la gravedad por lo que la ecuación para determinar el tiempo de subida queda como:
v = v_0 - gt_s\ \to\ t_s = \frac{v_0}{g} = \frac{12\ m/s}{9,8\ m/s^2} = 1,22\ s
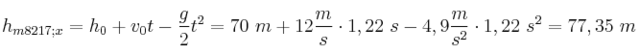
La altura máxima que alcanza el objeto es:
h_{m\a’x} = h_0 + v_0t - \frac{g}{2}t^2 = 70\ m + 12\frac{m}{s}\cdot 1,22\ s - 4,9\frac{m}{s^2}\cdot 1,22\ s^2 = 77,35\ m
Esto quiere decir que el objeto subirá durante 7,35 m hasta alcanzar la altura máxima. Ya podemos saber la distancia total que recorrerá el objeto:

d_T = (7,35 + 77,35)\ m = \bf 84,7\ m


Segunda parte.
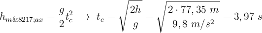
Ahora la velocidad inicial será cero porque estamos considerando que el objeto parte desde el punto de máxima altura. La ecuación de la caída libre desde esa altura nos permite calcular el tiempo de caída:

h_{m\’ax} = \frac{g}{2}t_c^2\ \to\ t_c = \sqrt{\frac{2h}{g}} = \sqrt{\frac{2\cdot 77,35\ m}{9,8\ m/s^2}} = 3,97\ s
El tiempo total de vuelo será:

t_T =
 (1,22 + 3,97)\ s = \bf 5,19\ s


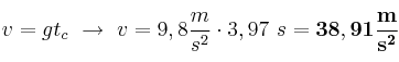
La velocidad con la que llegará al suelo es:

v = gt_c\ \to\ v = 9,8\frac{m}{s^2}\cdot 3,97\ s = \bf 38,91\frac{m}{s^2}