Impulso mecánico y variación de la velocidad de un sistema (53)

, por F_y_Q

Sobre un cuerpo de 2 kg, que se mueve con velocidad constante de 3 m/s sobre la horizontal, se aplica una fuerza de 5 N en la misma dirección y sentido del movimiento durante 5 s. ¿Cuál será el impulso comunicado? ¿Qué variación de la velocidad sufrirá el cuerpo?

P.-S.

El impulso mecánico es el producto de la fuerza aplicada por el tiempo durante el que se aplica:

{\color[RGB]{2,112,20}{\bm{\vec{I} = \vec{F}\cdot t}}} = 5\ \vec{i}\ (N)\cdot 5\ s = \fbox{\color[RGB]{192,0,0}{\bm{25\ \vec{i}\ (N\cdot s)}}}


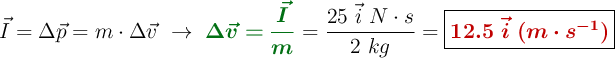
El impulso aplicado se invierte en la variación de la cantidad de movimiento del cuerpo:

\vec{I} = \Delta \vec{p} = m\cdot \Delta \vec{v}\ \to\ {\color[RGB]{2,112,20}{\bm{\Delta \vec{v} = \frac{\vec{I}}{m}}}} = \frac{25\ \vec{i}\ N\cdot s}{2\ kg} = \fbox{\color[RGB]{192,0,0}{\bm{12.5\ \vec{i}\ (m\cdot s^{-1})}}}