Fuerza y coeficiente de rozamiento entre un coche y el asfalto (7212)

, por F_y_Q

La grúa de la figura arrastra un automóvil averiado de 800 kg hacia arriba a velocidad constante, por una cuesta de 25^o. Si el cable forma un ángulo de 3 7^o con el pavimento y la tensión es de 5 600 N, calcula la fuerza de rozamiento y el coeficiente de rozamiento con la carretera.

P.-S.

Lo primero que debes hacer es descomponer el peso del coche y la tensión del cable en las componentes vertical y horizontal:

\left p_x = m\cdot g\cdot sen\ 25 = 800\ kg\cdot 9.8\ \frac{m}{s^2}\cdot sen\ 25 = 3\ 313\ N \atop p_y = m\cdot g\cdot cos\ 25 = 800\ kg\cdot 9.8\ \frac{m}{s^2}\cdot cos\ 25 = 7\ 105\ N \right \}

\left T_x = T\cdot cos\ 37 = 5.6\cdot 10^3\ N\cdot cos\ 37 = 4\ 472\ N \atop T_y = T\cdot sen\ 37 = 5.6\cdot 10^3\ N\cdot sens\ 37 = 3\ 370\ N \right \}

Si aplicas la segunda ley de Newton a la dirección X, teniendo en cuenta que el ascenso del coche es a velocidad constante, obtienes la fuerza de rozamiento:

T_x - F_R - p_x = 0\ \to\ F_R = (4\ 472 - 3\ 313)\ N = \fbox{\color[RGB]{192,0,0}{\bf 1\ 159\ N}}


Para calcular el coeficiente de rozamiento necesitas el valor de la normal. Para ello aplicas la la segunda ley de Newton en la dirección Y:

p_y - N - T_y = 0\ \to\ \color[RGB]{2,112,20}{\bm{N = p_y - T_y}}
N = (7\ 105 - 3\ 370)\ N = \color[RGB]{0,112,192}{\bf 3\ 735\ N}

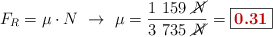
La fuerza de rozamiento se expresa en función de la normal y el coeficiente de rozamiento, solo tienes que despejar y calcular:

F_R = \mu\cdot N\ \to\ \mu = \frac{1\ 159\ \cancel{N}}{3\ 735\ \cancel{N}} = \fbox{\color[RGB]{192,0,0}{\bf 0.31}}