Fuerza para que un cuerpo con rozamiento recorra un espacio en un tiempo (6585)

, por F_y_Q

Un cuerpo de masa 40 kg se mueve sobre una superficie, cuyo coeficiente de rozamiento es de 0.6, bajo la acción de una fuerza que forma un ángulo de 30 ^o con la horizontal. ¿Cuál debe ser el valor de dicha fuerza para que el cuerpo recorra 40 m en 4 s partiendo del reposo?

P.-S.

En primer lugar es necesario que calcules la aceleración que debe tener el cuerpo para recorrer los 40 m en 4 s, teniendo en cuenta que la velocidad inicial es cero:

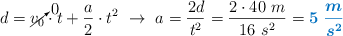
d = \cancelto{0}{v_0}\cdot t + \frac{a}{2}\cdot t^2\ \to\ a = \frac{2d}{t^2} = \frac{2\cdot 40\ m}{16\ s^2} = \color[RGB]{0,112,192}{\bm{5\ \frac{m}{s^2}}

Esta aceleración está relacionada con la fuerza NETA sobre el cuerpo por medio de la segunda ley de la dinámica:

F_T = m\cdot a = 40\ kg\cdot 5\ \frac{m}{s^2} = \color[RGB]{0,112,192}{\bf 200\ N}

Esta fuerza neta calculada es la suma de la componente horizontal de la fuerza aplicada sobre el cuerpo y la fuerza de rozamiento, que depende de la normal. Cuidado porque aquí está la dificultad del problema; en la dirección vertical hay tres fuerzas a considerar, el peso, la normal y la componente vertical de la fuerza:

N + F_y = p\ \to\ N = p - F_y

La ecuación a resolver es:

F_T = F_x - \mu\cdot N = \color[RGB]{2,112,20}{\bm{F\cdot sen\ 30 - \mu (mg - F\cdot cos\ 30)}}

Sustituyes por datos del enunciado para poder aclarar la ecuación:

F_T = 0.5F - 0.6(40\ kg\cdot 9.8\ \frac{m}{s^2} - 0.87F)\ \to\ F = \frac{(200 + 235.2)\ N}{1.02} = \fbox{\color[RGB]{192,0,0}{\bf 426.7\ N}}


Descarga el enunciado y la resolución del problema en formato EDICO si lo necesitas.