Fuerza máxima y tensión en un sistema de dos poleas al que se le aplica una fuerza (6287)

, por F_y_Q

¿Cuál es la fuerza máxima en sentido vertical que puedo aplicar sobre la polea (sin masa), sin que se eleve el conjunto de la figura del suelo? ¿Cuál es la tensión en la cuerda si aplico una fuerza de 110 N en sentido vertical?

P.-S.

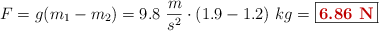
En el primer caso, debes calcular la fuerza necesaria para deshacer la situación de equilibrio en la que está el sistema. Puedes considerar que el sentido hacia la derecha es positivo, siendo la fuerza F negativa porque apunta en sentido contrario, y obtienes:

p_1 - \cancel{T_1} + \cancel{T_2} - p_2 - F = 0

F = g(m_1 - m_2) = 9.8\ \frac{m}{s^2}\cdot (1.9 - 1.2)\ kg = \fbox{\color[RGB]{192,0,0}{\bf 6.86\ N}}


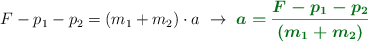
Si la fuerza que se aplica es de 110 N puedes calcular la tensión de la cuerda si tienes en cuenta que ambos pesos apuntan hacia abajo y la fuerza es vertical. Aplicando la segunda ley de la dinámica:

F - p_1 - p_2 = (m_1 + m_2)\cdot a\ \to\ \color[RGB]{2,112,20}{\bm{a = \frac{F - p_1 - p_2}{(m_1 + m_2)}}}

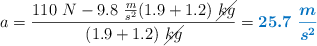
Sustituyes y calculas:

a =\frac{110\ N - 9.8\ \frac{m}{s^2}(1.9 + 1.2)\ \cancel{kg}}{(1.9 + 1.2)\ \cancel{kg}} = \color[RGB]{0,112,192}{\bm{25.7\ \frac{m}{s^2}}}

El sistema ascendería con la aceleración calculada. La tensión de la cuerda se puede calcular si aislamos el cuerpo 2:

T - p_2 = m_2\cdot a\ \to\ T = m_2(a + g) = 1.2\ kg (25.7 + 9.8)\ \frac{m}{s^2} = \fbox{\color[RGB]{192,0,0}{\bf 42.6\ N}}