Fuerza de frenado y fuerza de inercia en una motocicleta con remolque

, por F_y_Q

Una motocicleta de masa 192 kg viaja a 16,0\ \textstyle{m\over s} y de repente frena y se desliza durante 27,0 m hasta que se detiene. Determina la fuerza que se genera en el punto de acople entre la motocicleta y el remolque y la fuerza de frenado entre las llantas de la motocicleta y el asfalto durante el tiempo de frenado. La masa del remolque es 58 kg.

P.-S.

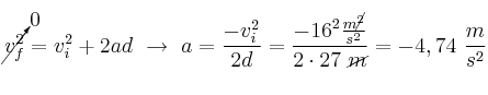
La aceleración que experimenta el sistema la calculamos a partir de la ecuación del MRUA:
\cancelto{0}{v_f^2} = v_i^2 + 2ad\ \to\ a = \frac{-v_i^2}{2d} = \frac{- 16^2\frac{m\cancel{^2}}{s^2}}{2\cdot 27\ \cancel{m}} = -4,74\ \frac{m}{s^2}
Toda la fuerza de frenado recae sobre las llantas de la motocicleta porque es desde la que se accionan los frenos:

F_M = (m_m + m_r)\cdot a = (192 + 58)\ kg\cdot \left(-4,74\ \frac{m}{s^2}\right) = \bf - 1\ 185\ N


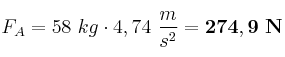
La fuerza sobre el punto de acople se obtiene considerando la aceleración calculada y la masa del remolque, que es la fuerza de inercia del mismo:

F_A = 58\ kg\cdot 4,74\ \frac{m}{s^2} = \bf 274,9\ N