Fuerza de atracción entre Luna y Tierra a partir de su órbita y velocidad (6498)

, por F_y_Q

La Luna, satélite natural de la Tierra, se encuentra a una distancia media del planeta d = 348\ 000\ km. Si la masa del satélite es de 7.35\cdot 10^{22}\ kg y suponemos que describe un MCU, ¿qué fuerza de atracción se establece entre la Tierra y la Luna?

P.-S.

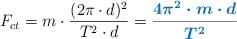
Si supones que el movimiento es circular uniforme, la fuerza de atracción entre ambos cuerpos celestes tiene que ser igual a la fuerza centrípeta. Para poder calcular la fuerza centrípeta es necesario que apliques la ecuación: F_{ct}  = m\cdot \frac{v^2}{d} . La velocidad de traslación de la Luna la debes escribir en función del radio de la órbita y del periodo. Considera que el periodo lunar, redondeando, es de 30 días:

F_{ct} = m\cdot \frac{(2\pi\cdot d)^2}{T^2\cdot d} = \color[RGB]{0,112,192}{\bm{\frac{4\pi^2\cdot m\cdot d}{T^2}}}

Es importante que las unidades estén en expresadas en el Sistema Internacional:

F_{ct} = \frac{4\pi^2\cdot 3.48\cdot 10^8\ m\cdot 7.35\cdot 10^{22}\ kg}{(2.59\cdot 10^6)^2\ s^2} = \fbox{\color[RGB]{192,0,0}{\bm{1.5\cdot 10^{20}\ N}}}