Fuerza aplicada sobre un balón durante un instante (3591)

, por F_y_Q

Un jugador patea un balón de 480 g y le imprime una velocidad de 54 km/h. Si el golpe duró 0.03 s, ¿cuál fue la fuerza ejercida sobre la pelota?

P.-S.

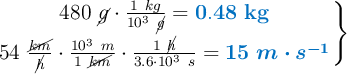
Para hacer que las unidades del problema sean homogéneas, conviertes la masa y la velocidad a unidades SI:

\left 480\ \cancel{g}\cdot \frac{1\ kg}{10^3\ \cancel{g}} = {\color[RGB]{0,112,192}{\bf 0.48\ kg}} \atop 54\ \frac{\cancel{km}}{\cancel{h}}\cdot \frac{10^3\ m}{1\ \cancel{km}}\cdot \frac{1\ \cancel{h}}{3.6\cdot 10^3\ s} = {\color[RGB]{0,112,192}{\bm{15\ m\cdot s^{-1}}}} \right \}

La aceleración que sufre el balón es:

a = \frac{v_f - \cancelto{0}{v_0}}{t} = \frac{15\ m\cdot s^{-1}}{0.03\ s} = \color[RGB]{0,112,192}{\bm{500\ m\cdot s^{-2}}}

Por último, aplicando la segunda ley de la dinámica:

F = m\cdot a = 0.48\ kg\cdot 500\ m\cdot s^{-2} = \fbox{\color[RGB]{192,0,0}{\bf 240\ N}}