Frecuencia de oscilación de un péndulo simple cuya tensión es el doble que el peso (262)

, por F_y_Q

Suspendemos una esfera metálica de un hilo de 15 cm de longitud. Calcula la frecuencia de oscilación del péndulo para que en su punto más bajo la tensión de la cuerda sea el doble que el peso de la esfera.

Nota: desprecia la masa de la cuerda.

P.-S.

Para resolver el problema se muestran todos los pasos para deducir la ecuación del periodo de un péndulo simple. Se puede hacer más rápido si se conoce esa ecuación, pero el propósito de esta resolución es mostrar todos los pasos necesarios.

Dado que el problema es sobre un péndulo simple, en su punto más bajo de oscilación habrá dos fuerzas: el peso de la esfera que forma el péndulo y la tensión sobre la cuerda que la sostiene. La condición que impone el enunciado del problema es que la tensión ha de ser el doble que el peso, es decir:

T = 2mg

Como se trata de un movimiento curvilíneo, la resultante de las fuerzas ha de ser igual a la fuerza centrípeta:

\left T - mg = ma_{ct} \atop T = 2mg \right \}\ \to\ 2mg - mg = m\cdot \frac{v^2}{L}\ \to\ \color[RGB]{2,112,20}{\bm{g = \frac{v^2}{L}}}

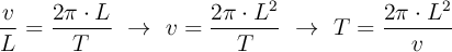
La velocidad del péndulo la puedes escribir en función de su velocidad angular y relacionarla con el arco de circunferencia que barre:

\left \omega = \dfrac{\phi}{t} \atop v = \omega\cdot L \right \}\ \to\ \frac{v}{L} = \frac{\phi}{t}

Cuando el péndulo hace una oscilación completa el tiempo es el periodo y \phi = 2\pi\cdot L. La ecuación anterior queda como:

\frac{v}{L} = \frac{2\pi\cdot L}{T}\ \to\ v = \frac{2\pi\cdot L^2}{T}\ \to\ T = \frac{2\pi\cdot L^2}{v}

Si sustituyes la velocidad por la expresión que obtuviste antes llegas a la ecuación del periodo del péndulo simple:

T = \frac{2\pi\cdot L^2}{\sqrt{gL}}\ \to\ \color[RGB]{2,112,20}{\bm{T = 2\pi\sqrt{\frac{L}{g}}}}

La frecuencia es la inversa del periodo, por lo que la ecuación que te permite calcular la frecuencia de oscilación es:

f = \frac{1}{T}\ \to\ \color[RGB]{2,112,20}{\bm{f = \frac{1}{2\pi}\sqrt{\frac{g}{L}}}}

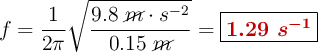
Sustituyes los datos y calculas, eso sí, teniendo cuidado de que las unidades sean homogéneas:

f = \frac{1}{2\pi}\sqrt{\frac{9.8\ \cancel{m}\cdot s^{-2}}{0.15\ \cancel{m}}} = \fbox{\color[RGB]{192,0,0}{\bm{1.29\ s^{-1}}}}