Energías potencial elástica, gravitatoria y cinética en resorte (2600)

, por F_y_Q

Desde 8 m de altura con respecto al extremo superior de un resorte de constante elástica k = 500 N/m se deja caer un cuerpo. Si el resorte se comprime 0.4 m calcula:

a) La masa del cuerpo.

b) La velocidad con la que choca el cuerpo contra el resorte.

c) La velocidad que tiene el cuerpo cuando el resorte está comprimido 0.25 m.

P.-S.

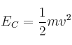
a) La energía potencial elástica que almacena el resorte cuando impacta el cuerpo ha de ser igual a la energía potencial gravitatoria que posee el cuerpo al inicio: E_{p_e} = E_{p_g}:

\frac{1}{2}k\cdot x^2 = m\cdot g\cdot h\ \to\ m = \frac{k\cdot x^2}{2g\cdot h} = \frac{500\ \frac{N}{\cancel{m}}\cdot 0.4^2\ m\cancel{^2}}{2\cdot 10\frac{m}{s^2}\cdot (8 + 0.4)\ m} = \fbox{\color[RGB]{192,0,0}{\bf 0.48\ kg}}


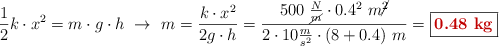
b) Para determinar la velocidad del impacto debemos hacer iguales la energía potencial gravitatoria y la energía cinética:

E_{p_g} = E_c\ \to\ \cancel{m}\cdot g\cdot h = \frac{1}{2}\cancel{m}\cdot v^2\ \to\ v = \sqrt{2gh} = \sqrt{2\cdot 10\frac{m}{s^2}\cdot 8\ m} = \fbox{\color[RGB]{192,0,0}{\bm{12.65\ \frac{m}{s}}}}


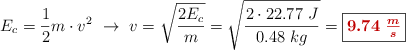
c) En este caso estamos en una situación intermedia y la energía cinética que tenga el cuerpo en ese instante debe ser la diferencia entre la energía potencial gravitatoria del inicio y la energía potencial elástica de ese instante:

E_c = E_{p_g} - E_{p_e}

Haciendo el cálculo de ambas energías potenciales:

E_{p_g} = m\cdot g\cdot h = 0.48\ kg\cdot 10\frac{m}{s^2}\cdot 8\ m = \color[RGB]{0,112,192}{\bf 38.4\ J}


E_{p_e} = \frac{1}{2}k\cdot x^2 = \frac{500\ N/m}{2}\cdot 0,25^2\ m^2 = \color[RGB]{0,112,192}{\bf 15.63\ J}


Por lo tanto la energía cinética en ese instante será:

(38.4 - 15.63)\ J = \color[RGB]{2,112,20}{\bf 22.77\ J} .

E_c = \frac{1}{2}m\cdot v^2\ \to\ v = \sqrt{\frac{2E_c}{m}} = \sqrt{\frac{2\cdot 22.77\ J}{0.48\ kg}} = \fbox{\color[RGB]{192,0,0}{\bm{9.74\ \frac{m}{s}}}}