Energía cinética de un cuerpo que llega al suelo en caída libre (2608)

, por F_y_Q

Un cuerpo cae en 5 segundos partiendo del reposo. ¿Cuál es su energía cinética al llegar al suelo? La masa del cuerpo es de 100 g.

P.-S.

Al ser una caída libre, en donde la velocidad inicial es cero, la velocidad será:

v = \cancelto{0}{v_0} + g\cdot t\ \to \color[RGB]{2,112,20}{\bf v = g\cdot t}

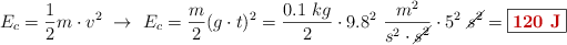
Puedes calcular la energía cinética entonces como:

E_c = \frac{1}{2}m\cdot v^2\ \to\ E_c = \frac{m}{2}(g\cdot t)^2 = \frac{0.1\ kg}{2}\cdot 9.8^2\ \frac{m^2}{s^2\cdot \cancel{s^2}}\cdot 5^2\ \cancel{s^2} = \fbox{\color[RGB]{192,0,0}{\bf 120\ J}}


Descarga el enunciado y la resolución del problema en formato EDICO si lo necesitas.