Distancia que recorre un barco sabiendo lo que tarda el eco (4255)

, por F_y_Q

Una fragata de guerra se aleja de la costa, en la que hay un acantilado. A 680 m de la costa dispara un cañonazo; el eco es percibido a los 4.1 segundos. Calcula la velocidad de barco, si la velocidad se transmite en el aire a razón de 340 m/s.

P.-S.

El sonido tendrá que llegar al acantilado y regresar hasta la nueva posición del barco. En el tramo que va desde la posición inicial del barco hasta el acantilado, los 680 m del enunciado, el sonido tardará:

t_1 = \frac{680\ \cancel{m}}{340\ \frac{\cancel{m}}{s}} = \color[RGB]{0,112,192}{\bf 2\ s}

Esto quiere decir que el tiempo que tardará en llegar el sonido a la nueva posición del barco será:

t_2 = (4.1 - 2)\ s = \color[RGB]{0,112,192}{\bf 2.1\ s}

La distancia que recorrerá el sonido en ese tiempo es:

d_2 = 340\ \frac{m}{\cancel{s}}\cdot 2.1\ \cancel{s} = \color[RGB]{0,112,192}{\bf 714\ m}

La distancia que ha recorrido el barco en el tiempo total es la diferencia entre la posición inicial y la final:

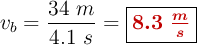
(714 - 680) m = \color[RGB]{0,112,192}{\bf 34 m}

La velocidad que lleva el barco es:

v_b = \frac{34\ m}{4.1\ s} = \fbox{\color[RGB]{192,0,0}{\bm{8.3\ \frac{m}{s}}}}