Dinámica del movimiento circular (2163)

, por F_y_Q

Se suelta una esfera de 50 N de peso desde lo alto de una pista semicircular. ¿Cuál es la reacción de la rampa en el punto más bajo de la trayectoria, si la velocidad en ese punto es de 20 m/s? El radio de la pista es 5 m.

P.-S.

Las fuerzas presentes en la situación descrita por el enunciado son dos: el peso de la fuerza, que es vertical y con sentido hacia abajo, y la reacción de la rampa, que es vertical y con sentido hacia arriba. La suma de ambas fuerzas ha de ser igual a la fuerza centrípeta que actúa sobre la bola, porque está describiendo una trayectoria circular. Si llamas «N» a la fuerza de reacción de la rampa y consideras que hacia arriba es el sentido positivo:

N - p = F_{ct}\ \to\ \color[RGB]{2,112,20}{\bm{N = F_{ct} + p}}

La fuerza centrípeta es, por definición:

F_{ct} = m\cdot a_n\ \to\ {\color[RGB]{2,112,20}{\bm{F_{ct} = m\cdot \frac{v^2}{R}}}}\ \to\ F_{ct} = m\cdot \frac{20^2\ m\cancel{^2}\cdot s^{-2}}{5\ \cancel{m}} = \color[RGB]{0,112,192}{\bm{m\cdot 80\ \frac{m}{s^{-2}}}}

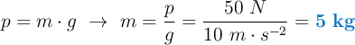
A partir del peso puedes obtener el valor de la masa:

p = m\cdot g\ \to\ m = \frac{p}{g} = \frac{50\ N}{10\ m\cdot s^{-2}} = \color[RGB]{0,112,192}{\bf 5\ kg}

La fuerza centrípeta es, por lo tanto:

F_{ct} = 5\ kg\cdot 80\ m/s^2 = \color[RGB]{0,112,192}{\bf 400\ N}

La fuerza de reacción en la rampa será:

N = (400 + 50)\ N = \fbox{\color[RGB]{192,0,0}{\bf 450\ N}}