Dinámica de un sistema de partículas: choque inelástico (1119)

, por F_y_Q

Un vagón de 2.5 t que se mueve por una vía recta a velocidad constante de 54 km/h choca contra otro vagón de 5 t que está parado en la misma vía y se empotra contra él:

a) ¿Con qué velocidad sale impulsado el conjunto?

b) ¿Se conservan la energía y la cantidad de movimiento del conjunto justo después del choque?

P.-S.

La situación descrita en el enunciado es un choque inelástico. Puedes responder al segundo apartado del problema de forma inmediata.

b) En los choques inelásticos no se conserva la energía cinética del sistema, pero sí se conserva la cantidad de movimiento.

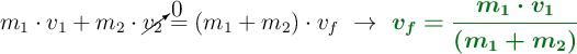
a) Como se conserva la cantidad de movimiento puedes escribir la ecuación:

m_1\cdot v_1 + m_2\cdot \cancelto{0}{v_2} = (m_1 + m_2)\cdot v_f\ \to\ \color[RGB]{2,112,20}{\bm{v_f = \frac{m_1\cdot v_1}{(m_1 + m_2)}}}

Si sustituyes y calculas, obtienes la velocidad final:

v_f = \frac{2.5\cdot \cancel{10^3}\ \cancel{kg}\cdot 15\ m\cdot s^{-1}}{7.5\cdot \cancel{10^3}\ \cancel{kg}} = \fbox{\color[RGB]{192,0,0}{\bm{5\ m\cdot s^{-1}}}}