Conservación de la cantidad de movimiento e impulso mecánico (6670)

, por F_y_Q

Un cuerpo de masa 5 kg está comprimiendo a un resorte de constante elástica 5 000 N/m, una distancia inicial de 15 cm. Inicialmente el cuerpo A se encuentra en reposo y se suelta el resorte permitiendo que el mismo se desplace libremente por una superficie sin fricción hacia la derecha. El cuerpo A choca contra otro cuerpo B que está en reposo y cuya masa es de 8 kg, siendo la velocidad de B tras el choque de 3.5 m/s hacia la derecha. Determina:

a) La velocidad del cuerpo A después del choque.

b) El impulso que le aplica el cuerpo A al cuerpo B.

c) El impulso que le aplica el cuerpo B al cuerpo A.

P.-S.

Lo primero que debes hacer el calcular la velocidad con la que el cuerpo A va a chocar contra el cuerpo B. Esto lo puedes hacer si consideras que la energía mecánica del sistema permanece constante y la energía potencial elástica del resorte se transforma en energía cinética del cuerpo A:

E_P = E_C\ \to\ \frac{k}{\cancel{2}}\cdot x^2 = \frac{m_A}{\cancel{2}}\cdot v_A^2\ \to\ v_A = \sqrt{\frac{k\cdot x^2}{m_A}}
Si sustituyes los datos del enunicado y calculas:

v_A = \sqrt{\frac{5\cdot 10^3\ \frac{N}{\cancel{m}}\cdot 0.15^2\ m\cancel{^2}}{5\ kg}} = \color[RGB]{2,112,20}{\bm{4.74\ \frac{m}{s}}}

a) Después del choque se debe conservar la cantidad de movimiento del sistema:

m_A\cdot v_A + m_B\cdot \cancelto{0}{v_B} = m_A\cdot u_A + m_B\cdot u_B\ \to\ u_A = \frac{m_A\cdot v_A - m_B\cdot u_B}{m_A}

Ahora puedes calcular el valor de la velocidad de A tras el choque:

u_A = \frac{5\ \cancel{kg}\cdot 4.74\ \frac{m}{s} - 8\ \cancel{kg}\cdot 3.5\ \frac{m}{s}}{5\ \cancel{kg}} = \fbox{\color[RGB]{192,0,0}{\bm{-0.86\ \frac{m}{s}}}}


Este resultado lo debes interpretar como que el cuerpo A se mueve con una velocidad de 0.86 m/s pero hacia la izquierda.

b) El impulso que le aplica A al cuerpo B es igual a la variación de la cantidad de movimiento que ha experimentado B:

I_{AB} = m_B\cdot \Delta v_B = m_B\cdot (u_B - \cancelto{0}{v_B}) = 8\ kg\cdot 3.5\ \frac{m}{s} = \fbox{\color[RGB]{192,0,0}{\bm{28\ \frac{kg\cdot m}{s}}}}


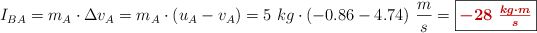
c) El valor debe ser el mismo pero cambiado de signo. Puedes comprobarlo:

I_{BA} = m_A\cdot \Delta v_A = m_A\cdot (u_A - v_A) = 5\ kg\cdot (-0.86 - 4.74)\ \frac{m}{s} = \fbox{\color[RGB]{192,0,0}{\bm{- 28\ \frac{kg\cdot m}{s}}}}