Colisión inelástica de tres vehículos en una intersección (7306)

, por F_y_Q

Un camión de 2 100 kg viaja hacia el este a través de una intersección a 2.0\ \textstyle{m\over s} cuando es golpeado simultáneamente por el costado y la parte trasera. Un automóvil es un compacto, de 1 200 kg, y viaja hacia el norte a 5.0\ \textstyle{m\over s}, mientras que el otro es de un tamaño mediano, de 1 500 kg, y viaja hacia el este a 10 \ \textstyle{m\over s} . Los tres vehículos quedan unidos y se desplazan como un solo cuerpo tras la colisión. ¿Cuáles son su velocidad y dirección justo después de la colisión?

P.-S.

El primer paso para hacer el problema es representar la situación inicial y la situación final:


La cantidad de movimiento del sistema se tiene que conservar y eso lo expresas con la ecuación:

m_1\cdot \vec v_1 + m_2\cdot \vec v_2 + m_3\cdot \vec v_3 = (m_1 + m_2 + m_3)\cdot \vec v_f

En el esquema puedes ver que la componente de la velocidades 1 y 3 es horizontal y la de la velocidad 2 es vertical:

(2.1\cdot 10^3\cdot 2)\ \vec i + (1.2\cdot 10^3\cdot 5)\ \vec j + (1.5\cdot 10^3\cdot 10)\ \vec i = 4.8\cdot 10^3\ \vec v_f

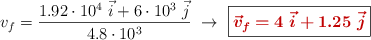
Si operas y despejas el valor de la velocidad final obtienes:

v_f = \frac{1.92\cdot 10^4\ \vec i + 6\cdot 10^3\ \vec j}{4.8\cdot 10^3}\ \to\ \fbox{\color[RGB]{192,0,0}{\bm{\vec v_f = 4\ \vec i + 1.25\ \vec j}}}


Observa ahora cómo queda el esquema y cómo puedes representar la velocidad final que has calculado:


La dirección de la velocidad final, con respecto a la horizontal, la puedes expresar mediante el valor del ángulo:

tg\ \alpha = \frac{v_{f_y}}{v_{x_f}} = \frac{1.25}{4}\ \to\ \fbox{\color[RGB]{192,0,0}{\bm{\alpha = 17.4^o}}}