Coeficiente de rozamiento para que un coche no se salga en una curva (7354)

, por F_y_Q

Un coche que se mueve a 5.0\ \textstyle{m\over s} trata de girar en una esquina describiendo un arco circular de 8.0 m de radio. Si consideras que el suelo es plano, ¿cuál debe ser el coeficiente de fricción entre los neumáticos y el pavimento para que no derrape?

P.-S.

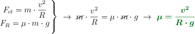
El coche describe un movimiento circular mientras hace el giro y eso quiere decir que la fuerza resultante sobre el coche es igual a la fuerza centrípeta. Para que no derrape es necesario que la fuerza de fricción sea igual a la fuerza centrípeta como mínimo:

\left F_{ct} = m\cdot \dfrac{v^2}{R} \atop F_R = \mu\cdot m\cdot g \right \}\ \to\ \cancel{m}\cdot \dfrac{v^2}{R} = \mu\cdot \cancel{m}\cdot g\ \to\ \color[RGB]{2,112,20}{\bm{\mu = \frac{v^2}{R\cdot g}}}

Sustituyes en la ecuación anterior y calculas:

\mu = \frac{5^2\ \cancel{\frac{m^2}{s^2}}}{8\ \cancel{m}\cdot 9.8\ \cancel{\frac{m}{s^2}}}\ \to\ \fbox{\color[RGB]{192,0,0}{\bm{\mu = 0.32}}}