Coeficiente de rozamiento estático entre un ladrillo un tablón (7500)

, por F_y_Q

Un estudiante coloca un ladrillo sobre un tablón y se levanta gradualmente de un extremo. Cuando la inclinación con la horizontal alcanza los 30 ^o el ladrillo comienza a deslizar, recorriendo 4 m en 4 s. Halla el coeficiente de rozamiento estático entre el ladrillo y el tablón de forma aproximada.

P.-S.

Lo ideal es hacer un esquema de la situación y dibujar las fuerzas presentes en el sistema para poder saber la estrategia a seguir en la resolución del problema.


Las fuerzas presentes en la dirección del movimiento del ladrillo son la componente X del peso y la fuerza de rozamiento. La fuerza de rozamiento depende de la normal y esta es igual a la componente Y del peso:

\left p_x = m\cdot g\cdot sen\ 30^o \atop F_R = \mu\cdot m\cdot g\cdot cos\ 30^o \right \} \to\ \color[RGB]{2,112,20}{\bm{p_x - F_R = m\cdot a}}

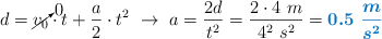
La aceleración la calculas a partir de la distancia que recorre y el tiempo que tarda en hacerlo, teniendo en cuenta que parte del reposo:

d = \cancelto{0}{v_0}\cdot t + \frac{a}{2}\cdot t^2\ \to\ a = \frac{2d}{t^2} = \frac{2\cdot 4\ m}{4^2\ s^2} = \color[RGB]{0,112,192}{\bm{0.5\ \frac{m}{s^2}}}

Despejas el coeficiente de rozamiento en la ecuación anterior:

\cancel{m}\cdot g\cdot sen\ 30^o - \mu\cdot \cancel{m}\cdot g\cdot cos\ 30^o = \cancel{m}\cdot a\ \to\ sen\ 30^o - \mu\cdot cos\ 30^o = \frac{a}{g}\ \to\ \color[RGB]{2,112,20}{\bm{\mu = \frac{sen\ 30^o - \frac{a}{g}}{cos\ 30^o}}}

\mu = \frac{0.5 - \frac{0.5}{9.8}}{0.866}\ \to\ \fbox{\color[RGB]{192,0,0}{\bm{\mu = 0.52}}}