Coeficiente de fricción entre una silla que desliza y el suelo (5917)

, por F_y_Q

Una silla desliza libremente sobre un piso horizontal pulido con una velocidad inicial de 3 \ \textstyle{m\over s} . Si se detiene después de recorrer 2 m, ¿cuál es el coeficiente de fricción entre el piso y la silla?

P.-S.

La única fuerza que actúa sobre la silla es la fuerza de fricción o rozamiento y es la responsable de que se detenga. La fuerza de rozamiento es:

F_r  = \mu\cdot m\cdot g.

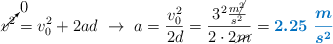
La aceleración que sufre la silla como consecuencia de esta fuerza es:

\cancelto{0}{v^2} = v_0^2 + 2ad\ \to\ a = \frac{v_0^2}{2d} = \frac{3^2\frac{m\cancel{^2}}{s^2}}{2\cdot 2\cancel{m}} = \color[RGB]{0,112,192}{\bm{2.25\ \frac{m}{s^2}}}

El producto de esta aceleración por la masa de la silla será la fuerza de rozamiento, con lo que podemos igualar ambas ecuaciones:

\cancel{m}\cdot a = \mu\cdot \cancel{m}\cdot g\ \to\ \mu = \frac{2.25\cancel{\frac{m}{s^2}}}{9.8\cancel{\frac{m}{s^2}}} = \fbox{\color[RGB]{192,0,0}{\bf 0.23}}