Choque perfectamente ineslático (2467)

, por F_y_Q

Una bala de 8 g se dispara horizontalmente sobre un bloque de madera de 9 kg. Sabiendo que la velocidad del bloque y la bala después del choque es de 4 cm/s. Calcula la velocidad inicial de la bala.

P.-S.

Se trata de un choque inelástico porque después de la colisión ambos cuerpos, bala y bloque, quedan unidos y se mueven con la misma velocidad.
En este tipo de colisiones se conserva la cantidad de movimiento (o momento lineal) del sistema pero no ocurre lo mismo con la energía cinética. Podemos escribir:

\vec p_{ant}  = \vec p_{des}\ \to\ \color[RGB]{2,112,20}{\bm{m_b\cdot v_b + m_{blq}\cdot v_{blq} = (m_b + m_{blq})\cdot v_f}}

Despejas el valor de la velocidad de la bala:

\color[RGB]{2,112,20}{\bm{v_b = \frac{(m_b + m_{blq})\cdot v_f - m_{blq}\cdot v_{blq}}{m_b}}}

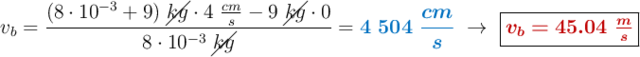
Sustituyes y calculas:

v_b  = \frac{(8\cdot 10^{-3} + 9)\ \cancel{kg}\cdot 4\ \frac{cm}{s} - 9\ \cancel{kg}\cdot 0}{8\cdot 10^{-3}\ \cancel{kg}} = {\color[RGB]{0,112,192}{\bm{4\ 504\ \frac{cm}{s}}}}\ \to\ \fbox{\color[RGB]{192,0,0}{\bm{v_b = 45.04\ \frac{m}{s}}}}