Cambio de unidades y cálculo de la velocidad 0001

, por F_y_Q

Un tren recorre 300 km en 4 h 34 min y 18 s. ¿Cuál es su velocidad?

P.-S.

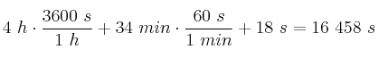
Transformamos el tiempo a la unidad más pequeña:

4\ h\cdot \frac{3600\ s}{1\ h} + 34\ min\cdot \frac{60\ s}{1\ min} + 18\ s = 16\ 458\ s


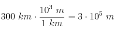
La distancia la expresamos en metros, que es unidad del Sistema Internacional:

300\ km\cdot \frac{10^3\ m}{1\ km} = 3\cdot 10^5\ m


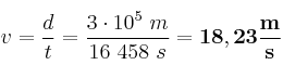
Ahora calculamos la velocidad:

v = \frac{d}{t} = \frac{3\cdot 10^5\ m}{16\ 458\ s} = \bf 18,23\frac{m}{s}