Cálculo de la presión que ejerce un tacón 0001

, por F_y_Q

Una mujer tiene una masa de 70 kg. Se detiene y se apoya sobre el tacón de uno de sus pies sobre el suelo. Si el radio del tacón circular es de 0,5 cm, ¿cuál es la presión que ejerce ella sobre el suelo?

P.-S.

La presión es el cociente entre una fuerza y la superficie sobre la que se aplica. La fuerza será el peso de la mujer:
p_{mujer} = m\cdot g = 70\ kg\cdot 9,8\frac{m}{s^2} = 686\ N
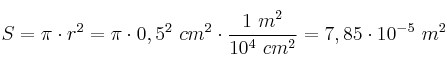
La superficie, suponiendo que se apoya sobre el tacón, será:
S = \pi\cdot r^2 = \pi\cdot 0,5^2\ cm^2\cdot \frac{1\ m^2}{10^4\ cm^2} = 7,85\cdot 10^{-5}\ m^2
La presión que ejerce será:

P = \frac{p}{S} = \frac{686\ N}{7,85\cdot 10^{-5}\ m^2} = \bf 8,74\cdot 10^6\ Pa