Fuerza necesaria para sacar una estatua del fondo del mar (8230)

, por F_y_Q

Una estatua antigua de 70 kg se encuentra en el fondo del mar. Su volumen es de 3.0\cdot 10^4\ cm^3. ¿Qué mínima fuerza se necesita para elevarla?

Dato: \rho_{\text{mar}}= 1\ 030\ \textstyle{kg\over m^3}

P.-S.

La fuerza necesaria para elevar la estatua será la diferencia entre el peso de la estatua y el empuje que ejerce el agua. El peso es mayor que el empuje y por eso está sumergida:

F = p - E\ \to\ \color[RGB]{2,112,20}{\bm{F = m\cdot g - \rho\cdot V\cdot g}}

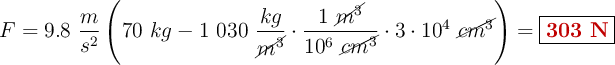
La única precaución que debes tener es que las unidades sean homogéneas. Puedes sustituir en la ecuación y usar un factor de conversión para la densidad:

F = 9.8\ \frac{m}{s^2}\left(70\ kg - 1\ 030\ \frac{kg}{\cancel{m^3}}\cdot \frac{1\ \cancel{m^3}}{10^6\ \cancel{cm^3}}\cdot 3\cdot 10^4\ \cancel{cm^3}\right) = \fbox{\color[RGB]{192,0,0}{\bf 303\ N}}