Aplicación de la ley de Graham: velocidad de difusión del hidrógeno (5004)

, por F_y_Q

Determina la velocidad de difusión del hidrógeno, sabiendo que la velocidad de difusión del oxígeno es 2 minutos.

P.-S.

La ley de Graham relaciona la velocidad de difusión de dos gases con sus masas moleculares. Si los gases son A y B, la relación es:

\color[RGB]{2,112,20}{\bm{\frac{v_A}{v_B} = \sqrt{\frac{M_B}{M_A}}}}

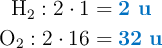
Para el caso del hidrógeno y el oxígeno, siendo ambos diatómicos, las masas moleculares son:

\left \ce{H2}: 2\cdot 1 = {\color[RGB]{0,112,192}{\bf 2\ u}} \atop \ce{O2}: 2\cdot 16 = {\color[RGB]{0,112,192}{\bf 32\ u}}

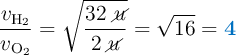
La relación entre sus velocidades de difusión será:

\frac{v_{\ce{H_2}}}{v_{\ce{O_2}}}= \sqrt{\frac{32\ \cancel{u}}{2\ \cancel{u}}} = \sqrt{16} = \color[RGB]{0,112,192}{\bf 4}

Esto quiere decir que el hidrógeno se difunde cuatro veces más rápido que el oxígeno, por lo tanto, la velocidad de difusión del hidrógeno será 0.5 min, es decir, 30 s.


Descarga el enunciado y la resolución del problema en formato EDICO si lo necesitas.