Aplicación de la ley de Charles (3126)

, por F_y_Q

Un globo se encuentra en el interior de una habitación a 26 ^oC y su volumen es de 2 L. Si de pronto sale por la ventana hacia el exterior, donde la temperatura es de 5 ^oC , ¿cuál será su volumen si la presión permanece constante?

P.-S.

Para hacer cualquier problema de leyes de los gases debes recordar que la temperatura ha de estar expresada en escala absoluta.
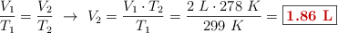
Aplicas la ley de Charles que relaciona el volumen y la temperatura:

\frac{V_1}{T_1} = \frac{V_2}{T_2}\ \to\ V_2 = \frac{V_1\cdot T_2}{T_1} = \frac{2\ L\cdot 278\ K}{299\ K} = \fbox{\color[RGB]{192,0,0}{\bf 1.86\ L}}