Ángulo y magnitud de la tercera fuerza concurrente sobre un punto (6663)

, por F_y_Q

Determina el ángulo \theta del cable y la tensión que se requiere F _1 de tal forma que la fuerza resultante esté dirigida verticalmente hacia arriba y tenga una magnitud de 800 N.

P.-S.

En la imagen puedes calcular el ángulo que forma la fuerza de 600 N, que llamaré F _2, con el eje horizontal a partir de la pendiente, haciendo la función inversa a la tangente:

tg\ \beta = \frac{3}{4}\ \to\ \beta = arctg\ 0.75 = 36.9^o

El ángulo suplementario al calculado es \color[RGB]{2,112,20}{\bm{\alpha = 143.1^o}} .

Las componentes de los vectores son:

\vec F_2  = 600\cdot sen\ 143.1\ \vec i + 600\cdot cos\ 143.1\ \vec j\ \to \color[RGB]{0,112,192}{\bm{\vec{F_2} = -479.8\ \vec i + 360.2\ \vec j}}
\vec F_3  = 400\cdot sen\ 30\ \vec i + 400\cdot cos\ 30\ \vec j\ \to \color[RGB]{0,112,192}{\bm{\vec{F_3} = 346.4\ \vec i + 200\ \vec j}}

Debes considerar que la suma de las componentes de los tres vecotres en el eje X es cero:

F_1\cdot sen\ \theta - 479.8 + 346.4 = 0\ \to\ \color[RGB]{2,112,20}{\bm{F_1\cdot sen\ \theta = -133.4}}

Ahora consideras que la suma de las componentes de los tres vecotres en el eje Y es 800:

F_1\cdot cos\ \theta + 360.2 + 200 = 800\ \to\ \color[RGB]{2,112,20}{\bm{F_1\cdot cos\ \theta = 239.8}}

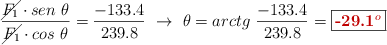
Divides ambas ecuaciones para obtener el ángulo:

\frac{\cancel{F_1}\cdot sen\ \theta}{\cancel{F_1}\cdot cos\ \theta} = \frac{-133.4}{239.8}\ \to\ \theta = arctg\ \frac{-133.4}{239.8} = \fbox{\color[RGB]{192,0,0}{\bf -29.1^o}}



El módulo de fuerza lo obtienes a partir de cualquiera de los ecuaciones anteriores:

F_1 = \frac{-133.4}{sen\ (-29.1)} = \fbox{\color[RGB]{192,0,0}{\bf 274.3\ N}}