Ángulo de inclinación de un plano inclinado por el que resbala una caja de frutas (6747)

, por F_y_Q

Una caja con frutas y verduras de 15 kg de masa es liberada desde el reposo en la parte superior de una rampa sin fricción de 3 m de longitud, con una inclinación \theta respecto a la horizontal. Se desliza hacia abajo alcanzando una velocidad de 5.7\ \textstyle{m\over s} cuando llega a la base del plano (punto A):

a) Dibuja el diagrama de cuerpo libre (DCL) de la caja en la posición inicial.

b) Escribe la segunda ley de Newton para la caja en las direcciones paralela y perpendicular a la rampa.

c) Encuentra el ángulo \theta que forma la rampa con la horizontal.

d) Suponiendo ahora que el coeficiente de fricción cinética entre la rampa y la caja es \mu  = 0.1 , calcula la aceleración del bloque y su rapidez en la base de la rampa (punto A).

P.-S.

a) El diagrama del cuerpo librees , al no haber rozamiento:



b) En la dirección perpendicular a la rampa.

La suma de las dos fuerzas que tienen esa dirección ha de ser nula porque la caja no se mueve en esa dirección:

\fbox{\color[RGB]{192,0,0}{\bm{\vec p_y - \vec N = 0}}}


En la dirección paralela a la rampa.

En este caso, la componente x del peso será igual al producto de la masa por la aceleración que adquiere:

\fbox{\color[RGB]{192,0,0}{\bm{\vec{p}_x = m\cdot a}}}


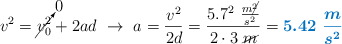
c) La aceleración que sufre la caja es:

v^2 = \cancelto{0}{v_0^2} + 2ad\ \to\ a = \frac{v^2}{2d} = \frac{5.7^2\ \frac{m\cancel{^2}}{s^2}}{2\cdot 3\ \cancel{m}} = \color[RGB]{0,112,192}{\bm{5.42\ \frac{m}{s^2}}}

A partir del la ecuación de la segunda ley de Newton en la dirección del movimiento:

\cancel{m}\cdot g\cdot sen\ \theta = \cancel{m}\cdot a\ \to\ sen\ \theta = \frac{5.42\ \cancel{\frac{m}{s^2}}}{9.8\ \cancel{\frac{m}{s^2}}}\ \to\ \theta = arcsen\ 0.533 = \fbox{\color[RGB]{192,0,0}{\bf 33.6^o}}


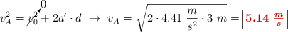
d) Al haber rozamiento, la segunda ley de Newton debe contener el término de la fuerza de rozamiento y queda de la siguiente manera:

\cancel{m}\cdot g\cdot sen\ \theta - \mu\cdot \cancel{m}\cdot g\cdot cos\ \theta = \cancel{m}\cdot a^{\prime}\ \to\ a^{\prime} = g(sen\ \theta - \mu\cdot cos\ \theta)

Solo tienes que sustituir el valor del ángulo calculado en el apartado anterior y el del coeficiente de rozamiento dado en este apartado:

a^{\prime} = 9.8\ \frac{m}{s^2}(sen\ 33.6 - 0.1\cdot cos\ 33.6) = \fbox{\color[RGB]{192,0,0}{\bm{4.41\ \frac{m}{s^2}}}}


La velocidad en el punto A la obtienes si vuelves a aplicar la ecuación para el movimiento acelerado:

v_A^2 = \cancelto{0}{v_0^2} + 2a^{\prime}\cdot d\ \to\ v_A = \sqrt{2\cdot 4.41\ \frac{m}{s^2}\cdot 3\ m} = \fbox{\color[RGB]{192,0,0}{\bm{5.14\ \frac{m}{s}}}}