Aceleración y tensión en sistema de cuerpos enlazados por una polea

, por F_y_Q

En el sistema de la figura:

La fricción en la superficie es de 0,25 y la masa de la polea es despreciable. Si m_1 = 3\cdot 10^3\ g, m_2 = 5\cdot 10^2\ g y F = 1,5 N, encuentra:
a) La aceleración del sistema.
b) La tensión en las cuerdas.

P.-S.

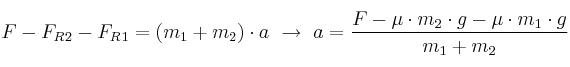
a) Si pintamos las fuerzas presentes en el sistema y aplicamos un criterio de signos tendremos:

En rojo están pintadas las tensiones en las cuerdas y en morado las fuerzas de rozamiento. Si aplicamos la segunda ley de la dinámica al sistema, considerando que el sentido del movimiento es hacia la derecha, y teniendo en cuenta que las tensiones son pares de fuerzas de acción-reacción, tendremos:
F - F_R{_2} - F_R{_1} = (m_1 + m_2)\cdot a\ \to\ a = \frac{F - \mu \cdot m_2\cdot g - \mu \cdot m_1\cdot g}{m_1 + m_2}
Sacando factor común en el numerador y sustituyendo por los valores del enunciado:
a = \frac{1,5\ N - 0,25\cdot 9,8\frac{m}{s^2}\cdot (3 + 0,5)\ kg}{3,5\ kg} = \bf -7,07\frac{m}{s^2}
Este resultado indica que el sistema NO se mueve en el sentido elegido. Como en el sentido contrario no hay fuerza motora alguna, podemos concluir que el sistema no se mueve y su aceleración es CERO.
b) La tensión en las cuerdas será, por lo tanto, igual a la fuerza que se aplica al sistema: T = 1,5 N.